РАДИОКОМПАС ДЛЯ «ОХОТЫ НА ЛИС»
А. ГРЕЧИХИН Радио №1/1964, ст.25
Каждый охотник на «лис» знает, как важно уметь идти по заданному направлению на «лису» во время паузы, когда ее передатчик не работает. Для этого пользуются всевозможными ориентирами, а также магнитным компасом и т. д. С помощью магнитного компаса можно довольно точно идти по нужному азимуту, но необходимость (в густом лесу, например) проверять правильность курса, что отвлекает внимание охотника, снижает скорость. При ориентировке надо смотреть на компас; нужно успокаивать стрелку компаса, что при беге сделать нелегко.
Предлагаемый радиокомпас позволяет на бегу определять направление с большой точностью, не отвлекает внимания охотника. Радиокомпас представляет собой малогабаритный радиоприемник, собранный на транзисторах, с ферритовой антенной. Он настраивается на радиовещательную станцию, работающую в длинноволновом или средневолновом диапазонах. Принципиальная схема приемника приведена на рис. 1. Он имеет два каскада усиления ВЧ, гетеродин для получения звуковых биений с несущей принимаемой радиостанции, диодный детектор и два каскада усиления НЧ. Подстройка контуров L1C1; L2C6, L5С10 осуществляется до старта с помощью отвертки. Выход усилителя низкой частоты подключен к одному из головных телефонов через цепочку из C16 С17 R13. Конденсаторы С16 и С17 отделяют от деталей радиокомпаса постоянную составляющую анодного напряжения оконечной лампы приемника для «охоты на лис», в анодную цепь которой включены телефоны. Сопротивление R13 предохраняет выходной транзистор радиокомпаса от пробоя выходным напряжением приемника.

Радиокомпас собран в жестяной коробке диаметром 105 мм и высотой 25 мм с крышкой (рис. 2). Он укрепляется на голове охотника и может поворачиваться вокруг вертикальной оси. Ферритовая антенна экранирована от последующих каскадов. Как и вообще для всякой аппаратуры охотника, важнейшим требованием является высокая надежность.

Во время сеанса «лисы» определяют точно направление на «лису» с помощью приемника. Затем, смотря в этом направлении, поворачивают компас до тех пор, пока не пропадет сигнал радиовещательной станции — маяка. При этом ферритовая антенна радиокомпаса ФА будет обращена торцом на станцию — маяк (рис. 3). По окончании работы «лисы» можно бежать по направлению к ней, только прислушиваясь к сигналу радиокомпаса. Если бежишь правильно — сигнал отсутствует. Если отклонился от курса — появляется сигнал радиовещательной станции. При повороте головы легко определить нужное направление.


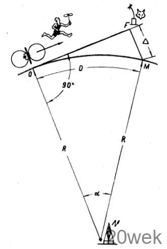
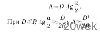
Посмотрим, как влияет расстояние R (рис. 3) до выбранной станции — маяка на точность выхода на «лису». В худшем случае направления на «лису» и на маяк находятся под углом 90°, при этом ошибка имеет наибольшее значение, так как охотник пойдет по дуге ОМ окружности радиусом R вместо того, чтобы двигаться по касательной OF. Расстояние D, пройденное за паузу (4 мин.), редко бывает более одного километра. При этом отклонение А будет не более: 50 м для R=10 км; 20 м для R 30 км; 3,5 м для R—150 км; 1м для R— 500 км. Учитывая, что точность выхода в район «лисы» должна быть в пределах 200—300 м, а также возможные отклонения в пути для обхода препятствий, можно считать допустимым минимальное расстояние до маяка 10—15 км, то есть в сущности использовать местную радиовещательную станцию. Особенно удобно пользоваться радиокомпасом для продолжения «ближнего» поиска «лисы», когда во время сеанса охотник не успевает добежать до передатчика 100—200 м. При этом, двигаясь точно по сигналу радиокомпаса, сориентированного во время сеанса, можно обнаружить «лису» почти с таким же успехом, как если бы она продолжала работать.
Описанная конструкция применялась автором на соревнованиях и тренировках сезона 1963 г. Несмотря на относительную громоздкость и кажущееся неудобство крепления радиокомпаса на голове, были доказаны преимущества радиокомпаса и несравненно большие удобства по сравнению с магнитным. Радиокомпас рекомендуется изготовлять и применять охотникам, хорошо освоившим технику пеленгации, особенно ближний поиск. В заключение следует указать, что данные ферритовой антенны и катушек L2~L5 зависят от диапазона, в котором работает радиовещательная станция.






