ПРИБОР ДЛЯ ИЗМЕРЕНИЯ КСВ
К. Сепп (Радио №2/1963 ст. 21)
Прибор предназначается для измерения КСВ (коэффициента стоячей волны) в антенно-фидерных системах, любительских КВ радиостанциях и может быть использован для согласования антенны с фидером при настройке системы. Описываемый прибор с точностью не хуже 10-15% может измерять КСВ на всех любительских диапазонах и рассчитан на подключение к фидеру (около передатчика) с волновым сопротивлением Rw =50—75 ом.
Целесообразность иметь на любительской КВ радиостанции подобный прибор очевидна, так как от правильного согласования антенны с фидером (от величины КСВ) зависит величина полезной мощности, отдаваемой передатчиком, что весьма существенно отражается на результатах во время проведения дальних связей. Радиолюбителям-коротковолновикам, занимающимся конструированием направленных и комбинированных антенн, прибор для измерения КСВ просто необходим.
Ниже приводится описание одной из наиболее простых мостовых схем (рис. 1) для измерения КСВ и описывается принцип ее работы.

Измерение КСВ производится следующим образом: к высокочастотному разъему П подключается выход передатчика, который предварительно должен быть настроен на один из любительских диапазонов и согласован с фидером, питающим антенну;
— к высокочастотному разъему А подключается фидер, питающий антенну;
— переключатель К устанавливается в положение ПВ;
— на вход прибора подается напряжение ВЧ от передатчика и изменением напряжения возбуждения мощного каскада добиваются отклонения стрелки измерительного прибора ИП на 100 делений шкалы;
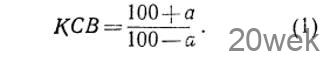
— переключатель К устанавливается в положение ОВ и записывается деление шкалы (а), на которое отклонится стрелка прибора ИП;
— КСВ подсчитывается по формуле

Приведенная на рис. 1 схема прибора представляет собой четырехплечный измерительный мост. Одним из плеч моста является сопротивление фидера с подключенной антенной, величина которого зависит от согласования фидера и антенны, то есть от КСВ.
Условие баланса такого моста в общем виде выглядит так:

Это условие справедливо только для моста, плечи которого состоят из чисто активных сопротивлений.
Если плечи моста состоят не только из активных сопротивлений, а имеют еще и реактивные составляющие, то для баланса такого моста необходимо выполнить еще одно условие: суммы углов сдвига фаз в сопротивлениях противоположных плеч.

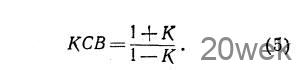
Эти два условия баланса моста нетрудно получить, если представить сопротивление каждого плеча в виде комплексной величины. Для нашего случая все сопротивления, за исключением Ra, являются чисто активными сопротивлениями и условие (3) принимает вид: фд=0. Условие (2) для нашего случая также упростится благодаря равенству сопротивлений R1 и R2 и будет выглядеть так:

Следовательно, мост будет сбалансирован при условии правильного согласования антенны с фидером, правильного подбора, сопротивления Rw=Wф и правильной настройке выходного контура передатчика, при которой фа становится равным нулю.
Равенство Rа=Rw=Rф, которое необходимо для баланса моста, получается при условии точного согласования антенны и фидера, то есть при КСВ=1. При КСВ больше единицы баланс моста будет нарушен, и измерительный прибор отметит наличие напряжения в точке С на измерительной диагонали моста благодаря наличию разности потенциалов между точками А и В. Чем больше КСВ будет отличаться от единицы, тем больше будет величина напряжения в точке С. Шкалу измерительного прибора можно было бы проградуировать в единицах КСВ, но поскольку зависимость Uc—(p (КСВ) нелинейная, такая градуировка в любительских условиях будет сложной. Гораздо проще подсчитать КСВ по формуле (1) или построить график зависимости КСВ = ф (а деление шкалы) и по нему определять КСВ.
Метод измерения КСВ с помощью моста, схема которого приведена на рис. 1, основан на определении величины разбаланса. В отличие от метода определения наличия баланса этот метод для однозначности измерения требует калибровки моста, то есть установления перед измерением вполне определенного и постоянного по величине напряжения питания моста.
Калибровочным напряжением в данном приборе выбрано такое напряжение ВЧ передатчика, при котором напряжение прямой волны (переключатель К в положении##) вызывает отклонение стрелки измерительного прибора на всю шкалу (100 делений). Можно выбрать и другую величину калибровочного напряжения, но надо следить, чтобы в процессе измерений эта величина не менялась.
Таким образом, измерение КСВ данным прибором сводится к измерению напряжений прямой и отраженной волн в относительных единицах (делениях шкалы измерительного прибора).
Напряжение, пропорциональное прямой волне — калибровочное напряжение— измеряется в точке В (см. рис. 1).
Напряжение, пропорциональное отраженной волне, измеряется в точке С. Напряжение в этой точке будет пропорционально величине разности потенциалов в точках А и В, вызванной разбалансом моста, а следовательно, пропорционально величине КСВ. При балансе моста, то есть когда КСВ =1, напряжение в точке С будет равно нулю ввиду отсутствия тока в измерительной диагонали АВ.
Для изготовления прибора не требуется большого опыта ввиду того, что прибор достаточно прост, как по схеме, так и по конструкции. При изготовлении следует только обратить внимание на подбор величины сопротивления Rw.
Для обеспечения точности измерения КСВ 10-15% сопротивление Rw можно подобрать из двух параллельно включенных сопротивлений МЛТ-0,5 или ВС-0,25 по прибору АЧМ-2.
Конструктивное оформление прибора может быть любым. Необходимо только учесть, чтобы сопротивления Rw и RA были отделены экраном от остальных элементов схемы моста, как указано на схеме рис. 1.
После изготовления прибора и проверки монтажа следует проверить правильность его работы. Для этого прибор необходимо подсоединить к передатчику, а вместо фидера поочередно подключать чисто активные сопротивления RA величиной 75, 150, 270 и 470 ом, записывая каждый раз показания прибора.
Затем для каждого сопротивления рассчитывается коэффициент отражения, который в нашем случае можно определять по формуле:

и определяется КСВ:

Подсчитанный таким образом КСВ сравнивается с КСВ для соответствующего сопротивления, подсчитанным по данным, полученным в результате измерения, и определяется величина ошибки. Ошибка при правильном подборе сопротивлений R1 R2 и Rw не должна превышать 10%,
Эксплуатационным недостатком описанного прибора является требование малой мощности (порядка 1 Вт) на выходе передатчика для измерения КСВ.
Для проверки КСВ и согласования антенны с фидером описываемым прибором успешно пользовались многие коротковолновики, члены Московского городского клуба, которые дали ему хорошую оценку.





