ПРОСТОЙ ПРИБОР ДЛЯ ПРОВЕРКИ ТРАНЗИСТОРОВ И РАДИОЛАМП
А. Васько, Радио №8/1965, ст. 30
Прибор, предлагаемый вниманию читателей, позволяет измерить обратные токи эмиттерного (рис. 1,а) и коллекторного (рис. 1,6) переходов, сквозной ток (рис. 1,в), ток короткого замыкания (рис. 1,е) и определить коэффициент усиления по постоянному току (рис. 1,6) транзисторов, обратный ток полупроводниковых диодов (рис. 2,а), проверить, цела ли нить накала радиолампы (рис. 2,6), нет ли замыкания между электродами (рис. 2,б), какова эмиссия катода (рис. 2,г) и нет ли обрыва электродов (рис. 2,6). При испытании радиоламп необходимо коммутировать электроды испытуемых радиоламп в соответствии с их цоколевками и родом измерения. Это достигается с помощью трех панелей девятиштырьковых пальчиковых ламп (рис. 3).



Каждая панель коммутирует по три электрода испытуемой радиолампы. Такое коммутационное устройство позволяет подключать любой электрод испытуемой радиолампы, в зависимости от схемы измерения, к любой из трех шин прибора: «—», «+» и «накал» или оставить электрод свободным — «изоляция» (рис. 4), чем и достигается простота коммутационного устройства. Электроды исследуемого транзистора подключают к 5-му лепестку коммутационных панелей. При определении применяют дополнительную коммутацию (П4 на рис. 4).

Для подключения испытуемых радиоламп в корпус прибора вмонтированы две пальчиковые панели, соответствующие лепестки которых запараллелены и подсоединены к коммутационному устройству. Средние лепестки панелей, в которые вставляют переходной провод с колпачком для подключения и проверки верхних электродов радиоламп, подключены к электроду 9.

Пределы измерения микроамперметра переключают при помощи четвертой коммутационной панели П4. Коммутационная вилка переключает сопротивление универсального шунта R2—R7 соответствии с этим меняются пределы измерения (300 ма, 60 ма, 15 ма, 3 ма, 0,6 ма и 0,15 ма).
Питается прибор от сети переменного тока. Обмотка трансформатора, рассчитанная на 6 V, подключается к зажимам «О» и «H». В случае испытания радиоламп, имеющих другое напряжение накала, на зажимы «О» и «П» подают соответствующее напряжение, а напряжение 6 в подают на зажимы «О» и «П». В обоих случаях через микроамперметр протекает ток, выпрямленный диодами Д1—Дз
На пределах измерения 300 ма и 0,15 ма микроамперметр служит пробником (при этом коммутационная вилка удалена). Для предохранения микроамперметра от чрезмерно больших токов к нему подключены добавочное сопротивление R10 и шунт R9, которые отключают нажатием кнопки Микроамперметр имеет чувствительность около 100 мка
Коммутационные вилки изготовлены из луженой медной проволоки диаметром 1,0 мм, которая вставлена в пластмассовый корпус от термокатушек и залита оловом. При изготовлении прибора необходимо сначала рассчитать или подобрать сопротивления универсального шунта R2—R7 с учетом сопротивления R8, которое выбирается в пределах 60— 100 ком. Сопротивления R9, R10, блокирующие микроамперметр, подбирают так, чтобы включение каждого снижало чувствительность микроамперметра в 5—8 раз. Величина сопротивления R11 должна быть такой, чтобы при замыкании зажимов «+» и «—» стрелка микроамперметра отклонялась на 70—100% шкалы 300 ма. Последним подбирается сопротивление смещения цепи базы R1. При измерении коэффициента усиления транзистора в цепи базы при нормальном напряжении питания протекает ток 100 мка (50 мка). При испытании радиоламп микроамперметр включают по схеме пробника, то есть вынимают коммутационную вилку из панели П4 или ставят ее в положение 300 ма, если радиолампа шестивольтовой серии или ток накала лампы не менее 0,3 а. Затем, закоротив «+» и «—» на коммутирующих панелях и нажав кнопку Кн1, проверяют по шкале микроамперметра напряжение питания. Кнопку нажимают при всех видах измерения. Выводы нити накала лампы с помощью коммутационных вилок на панелях подключают к «+» и «—» (рис. 2, б) и определяют, нет ли обрыва нити накала. Затем электроды испытуемой радиолампы поочередно подключают к «+» и «—», а нить накала соединяют с «—» (рис. 2, в) и проверяют, нет ли замыкания между электродами.
Соединив один вывод нити накала с гнездом «накал», второй вывод нити накала и катод с «—», а остальные — с «+» (рис. 2, г) и подобрав требуемый предел измерения микроамперметра, после достаточного прогрева катода определяют ток эмиссии катода, отсчитывая его величину по шкале микроамперметра. Таблица минимально допустимых токов эмиссии вполне работоспособных ламп составлена в результате многочисленных экспериментов, проведенных с новыми и бывшими в употреблении радиолампами.

Если необходимо еще испытать радиолампу на обрыв электродов, то вынимают вилку, коммутирующую предел измерения микроамперметра (чувствительный пробник), подключают один вывод нити накала к гнезду «накал», второй вывод нити накала и катод к «—», а испытуемый электрод к «-ф» (рис. 2,6). Об отсутствии обрыва электродов судят по отклонению стрелки микроамперметра
Испытуемый транзистор независимо от типа проводимости подключают к соответствующим гнездам «Э», «Б» и «К». На зажимы питания «О» и «Н» подают напряжение 6,3 в. Можно подключить батарею напряжением 4 в от карманного фонаря, но при этом необходимо подобрать величину сопротивления смещения базы R1. Микроамперметр включают по схеме пробника. Проверив напряжение питания описанным выше способом, приступают к испытанию транзисторов. В соответствии со схемой испытания транзистора типа р— п— р (рис. 1, а, б, в, г), его электроды в зависимости от полярности напряжения, указанной в схеме, подключают к «+» или к «—». Проверив отклонение стрелки микроамперметра по схеме пробника, приступают к измерению токов. Если стрелка микроамперметра отклонилась в конец шкалы, то переключением коммутационной вилки пределов измерения подбирают соответствующий предел измерения. Если же отклонение стрелки микроамперметра незначительно, то коммутационную вилку ставят в положение 0,6—0,15 ма. После этого соответственно измеряют обратные токи эмиттерного и коллекторного переходов, сквозной ток или ток короткого замыкания, которые отсчитывают по шкале микроамперметра.
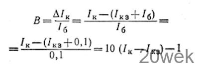
При определении коэффициента усиления транзистора по постоянному току его электроды соединяют по схеме, показанной на рис. 1,д. Сопротивление смещения базы R1 соединяют с коллектором коммутационной вилкой панели R4 и определяют ток цепи коллектора Iк. Коэффициент усиления вычисляют по формуле

При малом значении сквозного тока при базовом токе Iб=100 мка коэффициент усиления транзистора можно приближенно вычислить по формуле: В=10*Iк (ма).
Если испытуемый транзистор типа п—р—п, то полярности напряжений на его электродах противоположны по отношению к указанным в схемах рис. 1. Прибор смонтирован в металлическом футляре размерами 185Х100Х 85 мм (рис. 5).
Радиолюбители, имеющие авометр, могут использовать его стрелочный прибор с универсальным шунтом. В таком случае им необходимо изготовить только коммутационное устройство с испытательно-коммутационными панелями и выпрямитель с фильтром. Сопротивление смещения базы R1 целесообразно выполнить тогда в корпусе коммутационной вилки, которая соединяет базу транзистора с тем полюсом источника питания, к которому подсоединен коллектор при определении коэффициента усиления транзистора.





